Full Marks: 60
Pass Marks: 24
Time: 3 hours
Attempt any two questions: (2 x 10 = 20)
- Implement the following function F=Ʃ(0,1,3,4,7) using
- a) Decoder
- b) Multiplexer
- c) PLA
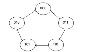
- Differentiate between synchronous and asynchronous sequential circuit. Design a counter as shown in the state diagram below

- Explain different types of shift registers with necessary diagrams.
Attempt any eight questions: (8 x 5 = 40)
- Convert (2AC5)16 to decimal, octal and binary.
- What do you mean by encoder? Design 3 to 8 line encoder.
- Design a combinational circuit that multiplies 2-bit numbers, a1a0 and b1b0 to produce a 4-bit product, c3c2c1c0. Use AND gates and half-adders.
- Design a circuit which produces 2’s complement of the given four bit binary digit.
- Implement full adder using decoder with truth table and logic diagram.
- Design a circuit that produces the square of three bit number using ROM?
- Use K-map to simplify the given function in POS. Implement the simplified function using 2-input NOR- NOR gate only.
- F = Π M ( 0,1,2,9,10,14)
- D = Π M ( 7,8,12) With don’t care consitions
- Discuss race condition in J-K Flip flop and methods to overcome it.
- Write Short notes on (Any two)
- a) Coding system in logic design
- b) Error-detection code
- c) Universal Gates