Bsc Csit Nepal

2079

Digital Logic

Full Marks: 60
Pass Marks: 24
Time: 3 hours

Attempt any two questions: (2 x 10 = 20)

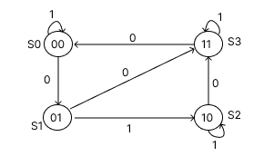
  1. Design the sequential circuit with respect to the following state diagram using T flip flops. diagram.png

  2. Implement F = ∑(0,1,4,5,7) using

    • a. Multiplexer
    • b. Decoder
    • c. PLA
  3. Differentiate between combinational circuit and sequential circuit. Design mod-10 synchronous counter using J-K flip-flop. Show necessary truth tables and K-maps.

Attempt any eight questions: (8 x 5 = 40)

  1. Provide one example where shift left operator can be used. Explain serial-in-serial-out register.
  2. Carry out the following tasks
    • a. Perform 2’s complement subtraction of 010110 - 100101
    • b. Represent decimal number 10 in its BCD form
  3. Derive the Boolean expression for sum and carry of half adder. Draw its combinational circuit. Implement it using only NOR gates.
  4. Express F’ = (x + y z)’ as a sum of min-terms.
  5. Minimize the following Boolean function using K-map F (A, B, C, D) = ∑m(0,1,2,5,7,8,9,10,13,15)
  6. What are the practical implications of down counter? Explain BCD ripple counter.
  7. Design a combinational circuit with three inputs and one output. The output is 1 when the binary value of the inputs is an even number.
  8. Differentiate between ROM and PLA. Explain different types of ROM.
  9. Write short notes on (Any two)
    • a. Positive Logic
    • b. I2L
    • c. ASCII