Digital Logic
Full Marks: 60
Pass Marks: 24
Time: 3 hours
Implement the following function F = ∑(0,3,5,6,7) using
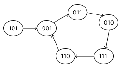
Differentiate between PAL and PLA. Design a counter as shown in the state diagram below 
Draw a block diagram, truth table and logic circuit of 1*16 Demultiplexer and explain its working principle.
Perform the arithmetic operation (+42)+(-13) and (-42)-(-13) in binary using the signed -2’s-complement representation for negative numbers.
Express the complement of the following function in sum of minterms.
F(A,B,C,D) = ∑(0,2,6,11,13,14)
Reduce the following function using k-map
F = wxy + yz + xy’z + x’y
Design a combinational circuit with three inputs and six outputs. The output binary number should be the square of the input binary number.
Design a 5 x 32 decoder with four 3 x 8 decoder with enable and one 2 x 4 decoder. Use block diagrams only.
Design and explain the Decimal adder with truth table and suitable diagram.
Explain shift register with parallel load. Highlight on its practical implications.
Explain master slave J-K flipflop.
Write short notes on (any two):
This page was printed from BSc CSIT Nepal (https://bsccsitnepal.com)